更新时间:2023-01-23 11:03:12作者:佚名
普通高中学业水平考试分为合格性考试和选择性考试。从秋季入学的高一年级学生开始实施。因休学等原因转入的学生,其已获得的学业水平考试成绩作为合格性考试成绩有效。
(一)合格性考试
1.考试对象
普通高中在校学生均须参加考试。
2.考试科目
语文、数学、外语(英语、日语、俄语、法语、德语、西班牙语)、物理、化学、生物学、思想政治、历史、地理、信息技术、通用技术、体育与健康、音乐、美术14门科目。
3.考试内容
普通高中课程标准确定的学科必修内容。
4.考试方式
语文、数学、外语、物理、化学、生物学、思想政治、历史、地理9门科目,采用闭卷笔试形式,由省招生考试院统一组织实施,语文科目考试时长为90分钟,数学、外语、物理、化学、生物学、思想政治、历史、地理科目考试时长为60分钟。各科目满分均为100分;信息技术、通用技术、体育与健康、音乐和美术5门科目由省教育厅统一制定相关要求,各市(行署)教育行政部门组织实施。
5.考试时间
全省统一组织实施的闭卷笔试科目分别安排在每年的7月和12月,每次考试覆盖所有考试科目,普通高中在校学生首次
参加合格性考试不得早于高一下学期,高一下学期考试科目为历史、地理、化学、生物学。高二上学期考试科目为思想政治、物理、语文、数学、外语。报名参加全国统一高考的考生,可用统一高考的语文、数学、外语成绩替代相应科目的合格性考试成绩,成绩须达到相应标准。由各市(地)教育行政部门组织实施的5门科目考试,根据课程计划安排在相应课程结束后进行。
6.成绩呈现
考试成绩以合格、不合格呈现。语文、数学、外语、物理、化学、生物学、思想政治、历史、地理9门科目以原始成绩达到满分值的60%为合格。考试不合格的原则上提供1次补考机会,由全省统一安排。合格的科目不得再报考。其他5门科目补考由各市(地)教育行政部门具体安排。
7.成绩管理
合格性考试成绩2年有效。考试成绩由省招生考试院负责统一认定和管理。由外省(区、市)转学到我省普通高中就读的学生,若已参加过原就读省(区、市)统一组织的普通高中学业水平考试合格性考试,可持省级教育行政部门出具的成绩证明,申请我省合格性考试成绩的认定。
8.成绩使用
考试成绩是普通高中学生毕业认定的主要依据,是高职院校招收高中毕业生的依据之一,也是普通高中学校课程管理和教学质量监测的重要依据。
(二)选择性考试
1.考试对象
普通高中在校生仅限高三年级学生参加;符合教育部和我省高考报名条件的高中阶段其他学校毕业生和同等学力社会人员参加选择性考试,与普通高中在校生同时进行。
2考试科目
物理、化学、生物学、思想政治、历史、地理6门科目,考生以高校专业选考科目要求和自身特长等为主要依据,选择其中3门参加考试。考生在选择考试科目时,首先在物理、历史2门科目中自主选择1门作为首选考试科目,然后在化学、生物学、思想政治、地理4门科目中自主选择2门作为再选考试科目。
3.考试内容
普通高中课程标准确定的学科必修和选择性必修内容。
4.考试方式
全省统一命题、统一组织,采用闭卷笔试形式。每科考试时间均为90分钟。各科目满分均为100分。
5.考试时间
在全国统一高考结束后进行,每年组织1次。
6.成绩呈现
物理、历史2门首选科目成绩采用原始分呈现;化学、生物学、思想政治、地理4门再选科目成绩按照规则转换成等级分呈现,转换时设置托底保障基数。
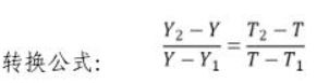
转换规则:以30分作为等级转换的赋分起点,满分100分。将考生每门选择性考试再选科目的原始分从高到低划分为A、B、 C、DE共5个等级,各等级人数所占比例分别约为15%、35%、35%、13%和2%,转换基数为实际参加该选择性考试科目的人数选择性考试再选科目成绩计入考生总成绩时,将A至E等级内的考生原始成绩,依照等比例转换法则,分别转换到100~86、85~71、70~56、55~41和40~30五个分数区间,根据线性转换公式计算得到考生的等级分,一分一档,考生等级分排序和原始分排序不变。

其中,Y表示原始分(Y1 Y2分别表示原始分区间的下限和上限);T表示转换分(T1、T2分别表示转换分区间的下限和上限)。计算结果通过“四舍五入”取整数。
托底保障基数:当再选科目中某科目考试人数少于保障基数时,以保障基数为准,从高到低进行等级赋分。保障基数按照国家相关学科人才培养的需求等因素予以确定。省教育厅将提前向考生公布各再选科目的保障基数。
7.成绩管理
考试成绩由省招生考试院负责统一认定、转换和管理。成绩当年有效。
8.成绩使用
首选科目物理或历史以原始分计入考生高考总成绩:再选科目思想政治、地理、生物学、化学以等级转换分计入高考总成绩。