2022佳木斯6月25日普通话水平测试要求通告

更新时间:2023-01-19 22:00:43作者:佚名

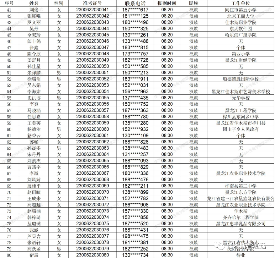
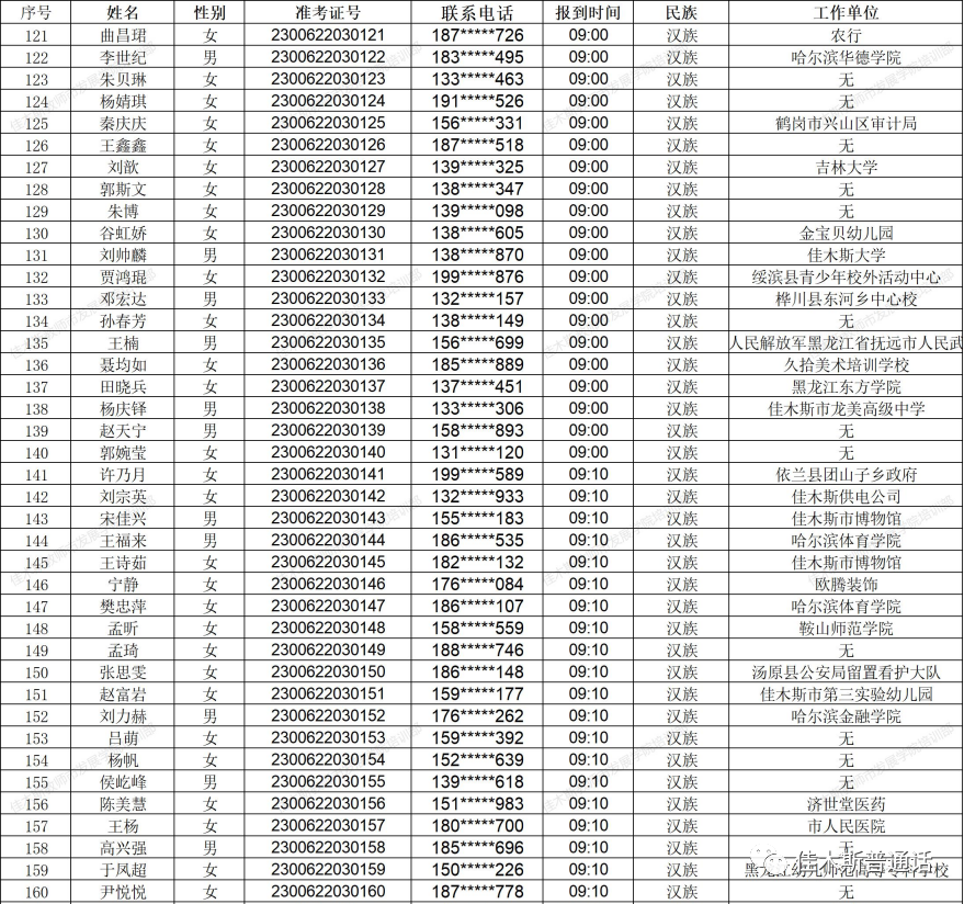
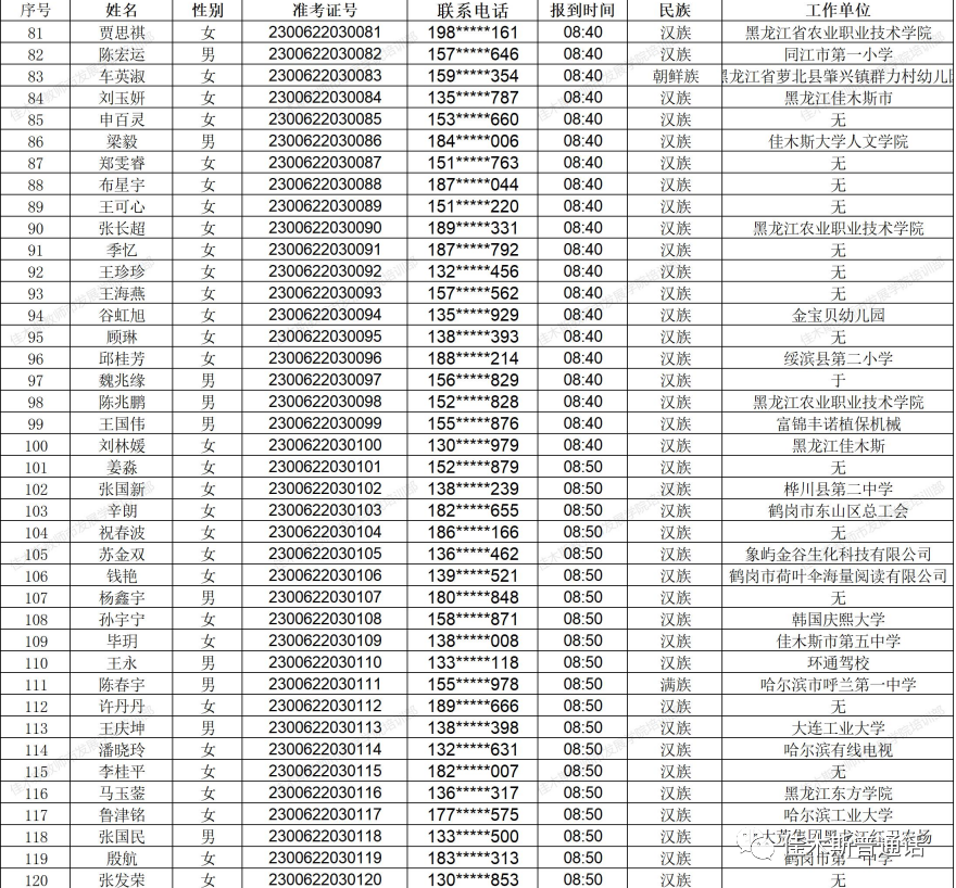
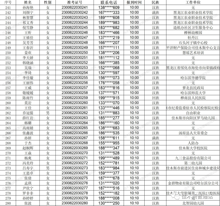
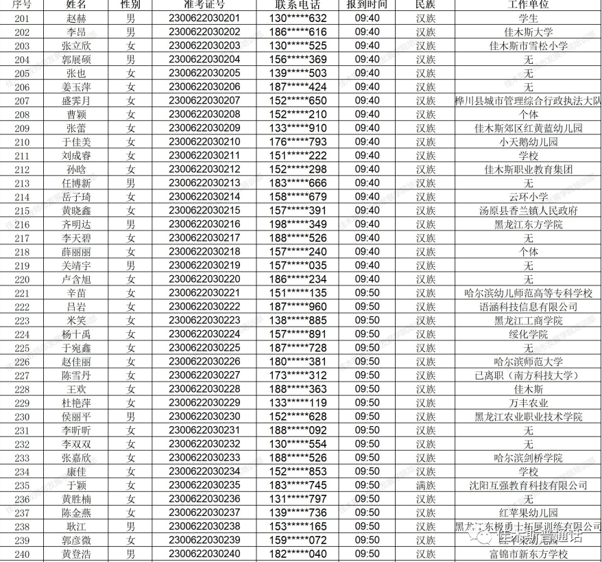
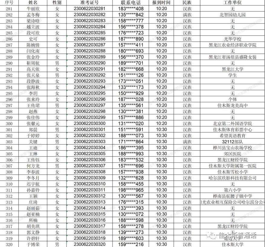
  1. 2022年6月25日参加测试考生的名单,以图片形式公布在文后,具体时间详见图片。请考生将图片下载保存后认真查看。

  2. 请考生认真阅读“防疫与测试须知”、“测试流程”,以保证测试顺利进行。

  3. 现场采集考生指纹、拍照,所拍摄照片用在证书上,照片背景为浅蓝色,建议考生着正装并尽量避免与背景同色。

  4. 要求考生全程佩带口罩,带口罩不影响测试效果。

  5. 测试地点:佳木斯市教师发展学院(杏林路538号,第十一中斜对面高层)

  一、防疫与测试须知

  1. 考生需携带身份证原件、纸质《考生个人健康情况承诺书》、纸质“48小时内核酸检测报告”,扫“龙江健康码”后查验“通信大数据行程卡”参加考试。

  2. 考生进入考点,应全程佩戴口罩并自觉接受体温检测,如体温超过37.2℃,应服从现场工作人员管理及疫情防控安排。候考期间不得随意走动,应尽量与他人保持1米以上距离,避免近距离接触和交谈。

  3. 考生在考试期间出现发热、干咳、乏力、鼻塞、流涕、咽痛、嗅觉味觉减退、结膜炎、肌痛和腹泻等不适症状,应立即向考点工作人员报告,听从工作人员的安排。

  4. 考生应自觉配合考点做好身体健康检测,对提供的“龙江健康码”、“通信大数据行程卡”、“个人健康情况承诺书”和48小时核酸检测阴性报告等证明材料的真实性负责,并承担因不实行为带来的相关责任。

  5. 凡隐瞒或谎报旅居史、接触史、健康状况等疫情防控重点信息,以及在考试疫情防控中拒不配合工作人员进行防疫检测、询问、排查、送诊等造成严重后果的,按照疫情防控有关法律法规追究责任。

  二、测试流程:

  教师发展学院一楼大厅扫防疫码、上交48小时核酸检测阴性报告及“个人健康情况承诺书”→ 507室候考→ 416室采集指纹、拍照→417室测试

  三、6月25日测试考生名单

  

  

  

  

  

  

  

  

  

为您推荐

没有养老保险怎么办(养老保险金怎么交)

1、如果是城镇户籍,拿上户口薄与身份证,到户籍所在地街道办事处大厅社保点进行咨询,会要求你复印一些资料、办一张银行卡,即可以个人身份交纳社保。2、如果是农村户籍,就必须挂靠某一个公司交纳。与公司签订一个劳动合同,假装在那

2023-01-18 18:09

十种人不适合做管理者 十种人不适合做管理者承担能力

1、个人利益至上的人详细介绍:作为一个优秀的管理者,想要经营好一家公司,一定是团队的利益至上,将“个人”摆在首位是一个非常错误的选择,因为这不仅会给团队带来矛盾,还营造了一个不公平的工作氛围。2、做事情绪化之人详细介绍:

2023-01-16 18:06

给澳大利亚人送礼要注意什么(给澳大利亚人送礼要注意什么问题)

1、在数目方面,受基督教的影响,澳大利亚人对于“13”与“星期五”普遍反感至极。 2、在人际交往中,爱好娱乐的澳大利亚往往是邀请友人一同外出游玩的习惯,他们认为这是密切双边关第的捷径之一。对此类邀请予以拒绝,会被他们理

2023-01-14 18:10

什么是免税牌照 什么是免税牌照号码

1、我国的免税资质是以牌照的形式发放给专营公司,因此外部竞争者无法进入。2、目前我国具有免税资质的企业共有7家,中免、日上免税、海免、珠免、深免、中出服、中侨。3、在消费板块,除了日常的食品、零食,资本市场目前高度预期z

2023-01-14 06:02

泰国是什么之国 泰国是什么之国?

1、泰国被称为佛教之国,大多数泰国人信奉四面佛。泰国又被称为白象之国,白象在泰国是王权的象征,曾经是泰国国旗上的标志。2、泰国因为寺院,佛像,佛塔众多,被称为千佛之国,千塔之国。到泰国旅游,处处可见身披黄色袈裟的僧侣,以

2023-01-14 06:02

乌干达是哪个国家的 乌干达是哪个国家的地图

1、乌干达就是一个国家。乌干达,位于非洲东部,横跨赤道,东邻肯尼亚,南接坦桑尼亚和卢旺达,西接刚果(金),北连南苏丹,总面积24.15万平方公里。全境大部位于东非高原,多湖,平均海拔1000~1200米,有“高原水乡”之

2023-01-14 00:21

加载中...