黑龙江高中学业水平考试等级划分标准

更新时间:2023-01-23 22:02:03作者:佚名

  普通高中学业水平考试分为合格性考试和选择性考试。从秋季入学的高一年级学生开始实施。因休学等原因转入的学生,其已获得的学业水平考试成绩作为合格性考试成绩有效。

  (一)合格性考试

  1.考试科目

  语文、数学、外语(英语、日语、俄语、法语、德语、西班牙语)、物理、化学、生物学、思想政治、历史、地理、信息技术、通用技术、体育与健康、音乐、美术14门科目。

  2.考试方式

  语文、数学、外语、物理、化学、生物学、思想政治、历史、地理9门科目,采用闭卷笔试形式,由省招生考试院统一组织实施,语文科目考试时长为90分钟,数学、外语、物理、化学、生物学、思想政治、历史、地理科目考试时长为60分钟。各科目满分均为100分;信息技术、通用技术、体育与健康、音乐和美术5门科目由省教育厅统一制定相关要求,各市(行署)教育行政部门组织实施。

  3.成绩呈现

  考试成绩以合格、不合格呈现。语文、数学、外语、物理、化学、生物学、思想政治、历史、地理9门科目以原始成绩达到满分值的60%为合格。考试不合格的原则上提供1次补考机会,由全省统一安排。合格的科目不得再报考。其他5门科目补考由各市(地)教育行政部门具体安排。

  (二)选择性考试

  1.考试科目

  物理、化学、生物学、思想政治、历史、地理6门科目,考生以高校专业选考科目要求和自身特长等为主要依据,选择其中3门参加考试。考生在选择考试科目时,首先在物理、历史2门科目中自主选择1门作为首选考试科目,然后在化学、生物学、思想政治、地理4门科目中自主选择2门作为再选考试科目。

  2.考试方式

  全省统一命题、统一组织,采用闭卷笔试形式。每科考试时间均为90分钟。各科目满分均为100分。

  3.成绩呈现

  物理、历史2门首选科目成绩采用原始分呈现;化学、生物学、思想政治、地理4门再选科目成绩按照规则转换成等级分呈现,转换时设置托底保障基数。

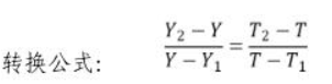
  转换规则:以30分作为等级转换的赋分起点,满分100分。将考生每门选择性考试再选科目的原始分从高到低划分为A、B、 C、DE共5个等级,各等级人数所占比例分别约为15%、35%、35%、13%和2%,转换基数为实际参加该选择性考试科目的人数选择性考试再选科目成绩计入考生总成绩时,将A至E等级内的考生原始成绩,依照等比例转换法则,分别转换到100~86、85~71、70~56、55~41和40~30五个分数区间,根据线性转换公式计算得到考生的等级分,一分一档,考生等级分排序和原始分排序不变。

  

  其中,Y表示原始分(Y1 Y2分别表示原始分区间的下限和上限);T表示转换分(T1、T2分别表示转换分区间的下限和上限)。计算结果通过“四舍五入”取整数。

  托底保障基数:当再选科目中某科目考试人数少于保障基数时,以保障基数为准,从高到低进行等级赋分。保障基数按照国家相关学科人才培养的需求等因素予以确定。省教育厅将提前向考生公布各再选科目的保障基数。

为您推荐

个人简历漂亮的一句话 简单个人简历

1、我始终认为没有一种不通过蔑视、忍受和奋斗就可以征服的命运。2、一个人,你不逼自己一把,你就不知道自己有多优秀。3、凡事都看的开点,生活就不会那么累了。4、 一个人如果下决心要成为什么样的人,或者下决心要做成什么样的事

2023-01-23 18:05

处理人际关系的6个技巧 人际交往的6个基本原则

1、第1招绘出一张人际关系“网络图”,显现出自己在这项资源上的多样化与触角。纵深人际关系网的特色是:每个成员都是老大。如果你能保有最新版本的人际关系图,就不难得知在眼前这一刻该如何以自己为主角,来善用你的人际关系资源。2

2023-01-23 00:10

东湖高新区属于什么区 东湖高新区属于什么区电话

1、东湖高新开发区属于洪山区。2、武汉东湖新技术开发区,简称“东湖高新区”,“东湖开发区”,别称“中国光谷”。于1988年创建成立,1991年被国务院批准为首批国家高新区,2001年被原国家计委、科技部批准为国家光电子产

2023-01-22 00:14

姚明身高多少 姚明身高多少米体重多少

1、身高226CM高。亚洲篮球联合会主席、中国篮球协会主席。2、姚明(Yao Ming),男,汉族,无党派人士,1980年9月12日出生于上海市徐汇区,祖籍江苏省苏州市吴江区震泽镇,前中国职业篮球运动员,司职中锋,现任亚

2023-01-20 12:09

泰国历史文化简介 泰国历史文化简介100字

1、泰国历史是指这个文明古国自古至今的历史,即自史前时期、前素可泰王朝时期、素可泰王朝时期、阿瑜陀耶王朝时期、吞武里王朝时期至曼谷王朝的历史。2、泰王国原名暹罗,13世纪时泰族人开始成为这个地区的统治力量,并逐渐宣布从当

2023-01-20 06:07

2021年g7国家包含哪些 2021年G7声明

1、七国集团(英语:Group of Seven,简称G7)是一个由世界七大发达国家经济体组成的国际组织,目前成员为美国、加拿大、英国、法国、德国、意大利及日本。2、组织成立于1973年,当时称为五国集团(G5),197

2023-01-20 00:15

加载中...